ORIGINAL RESEARCH ARTICLE

Development of the learning to learn competence in the university context: flipped classroom or traditional method?

María Espada*, José Antonio Navia, Patricia Rocu and Maite Gómez-López

Faculty of Physical Activity and Sport Sciences, Polytechnic University of Madrid, Madrid, Spain

(Received: 29 March 2019;Revised: 21 November 2019; Accepted: 3 December 2019; Published: 31 January 2020)

Abstract

This study analyses the use of a flipped classroom to develop the ‘learning to learn’ competence in the university context. This research was conducted on a subject about Applied Teaching Methodology included in the Physical Activity and Sports Science degree at the Polytechnic University of Madrid (Spain). A total of 110 university students (mean age 21.6 ± 3.0 years) participated in the research and were divided into two groups: one group (44 students) received an intervention based on the traditional method (with theoretical classes and resolved questions) and the other group (66 students) received an intervention using the flipped classroom method; self-perception of the level of development of the ‘learning to learn’ competence was analysed before and after the intervention. The design involved two groups that followed different types of teaching (traditional vs. flipped classroom) × two moments in time (before and after).

This study did not find any significant differences between the traditional and flipped classroom method, in the perception of the development of the ‘learning to learn’ competence.

Keywords: flipped classroom; ‘learning to learn’ competence; self-management of learning; self-evaluation of learning; self-knowledge as an apprenticeship

*Corresponding author. Email: maria.espada@upm.es

Research in Learning Technology 2020. © 2020 M. Espada et al. Research in Learning Technology is the journal of the Association for Learning Technology (ALT), a UK-based professional and scholarly society and membership organisation. ALT is registered charity number 1063519. http://www.alt.ac.uk/. This is an Open Access article distributed under the terms of the Creative Commons Attribution 4.0 International License (http://creativecommons.org/licenses/by/4.0/), allowing third parties to copy and redistribute the material in any medium or format and to remix, transform, and build upon the material for any purpose, even commercially, provided the original work is properly cited and states its license.

Citation: Research in Learning Technology 2020, 28: 2251 - http://dx.doi.org/10.25304/rlt.v28.2251

Introduction

Education based on competences

Over the last three decades, the development of competence systems, accompanied by the escalation in information and communication technologies, and the globalisation process, has had multiple repercussions in the world of education (Climént 2010).

In the early 2000s, more and more European countries made efforts to shift from solely knowledge to a broader competence approach in national curricula. The adoption of the 2006 Recommendation on Key Competences for Lifelong Learning and its annexed European Reference Framework of Key Competences for Lifelong Learning was therefore very timely to support this process and provide a common reference document (European Commission 2018).

This tendency for education based on competences has led to the establishment of education laws in the different European countries to foment its development.

Thus, in Spain, with regard to the pre-university level, the Organic Education Law and Royal Decree 15/13/2006 of 7th December stipulates the need to develop competences, defining this term as

‘the capacity to use knowledge and abilities, in a transversal and interactive manner, in contexts and situations which require the intervention of knowledge linked to different learning, which implies understanding, reflection and discernment bearing in mind the social dimension of each situation’. (p. 43058).

Similarly, the present Organic Law 8/2013 of 9th December on the improvement of educational quality insists on the importance of developing basic competences determining that

‘The simplification of curricular development is an essential element for the transformation of the educational system, a simplification which, according to the European Union guidelines, should provide solid knowledge of the content that guarantees the effective acquisition of the basic competences’. (p. 8)

The Organisation for Economic Cooperation and Development (OECD), Definition and Selection of Competences (DeSeCo) project had quite a significant influence on the work on competence frameworks in the European Union, both in numerous member states and in the debates and collaboration at the European level (Rychen and Salganik 2001). It defined the aim of key competencies as contributing to a successful life for individuals and a well-functioning society and the project classified key competences into three broad categories (using tools interactively, interacting in heterogeneous groups and acting autonomously).

The key competences that have been established include that of ‘ learning to learn’. This competence implies possessing the abilities to determine one’s own learning and be able to learn in an increasingly efficient and autonomous way depending on one’s own objectives and needs (Carretero and Fuentes 2010). Hofmann (2008) refers to ‘learning to learn’ as a competence that allows people to become more effective, flexible and self-organised learners in a variety of contexts.

An overview of competence definitions in the international competence frameworks shows that the ‘learning to learn’ competence means ‘ability to use knowledge and information interactively’, ‘analytical and critical thinking’, ‘autonomous learning skills’ and ‘problem solving’ (European Commission 2018).

Currently, most students still come from environments in our educational system that are characterised by teaching using a vertical and hierarchical discourse which demands that the students reproduce its academic knowledge. This concept of learning and teaching is incongruent with both current social demands and the intended aims of the new educational paradigm (Salmerón and Gutierrez-Braojos 2012).

With regard to the university context, the educational activity proposed by the European Higher Education Area (EHEA) makes the student the protagonist, emphasising active, autonomous, critical and reflexive learning (Herrero 2014).

The implementation of these competences implies an enormous challenge for teachers as they are expected to find strategies to integrate these competences into their different curricular subjects (Trier 2003; Voogt and Roblin 2012). All of which has led to the appearance of new methodologies, resources and material, new areas and time periods from those traditionally used until now in the classroom (Herrero 2014).

In designing active methodologies to favour training in competences, the challenge is to extend the methodological repertory by attempting to thoroughly understand the possibilities offered by the different strategies and to proceed by experimenting with their application in teaching practice, thus adopting and adapting these methods to circumstances and possibilities (Fernández-March 2006).

Likewise, learning methods based on teaching using technological means have been used with high expectations and the idea that they would increase students’ motivation and facilitate learning the content presented (Lee, Lim, and Grabowski 2010).

Flipped classroom

The flipped classroom method is one of these new methods and consists of inverting the order of the traditional class in such a way that the students can see the content of a topic in the virtual classroom and then carry out activities and practical exercises later on in class to consolidate this content (Bergmann and Sams 2014). Bergmann and Sams (2014) define this new concept by explaining that what traditionally was done in class is now done at home and what traditionally was done as homework is now done during the classes. Chis et al. (2018) explained that the flipped classroom is a student-centred pedagogy in which students complete pre-class work (e.g. watching a video clip, searching online for certain information) to gain basic knowledge, and class time is dedicated to activities that promote the application and mastery of this knowledge.

In this respect, this technology helps to improve student engagement in terms of the time spent on a task, quality of effort and student involvement (Shah and Barkas 2018). In addition, the flipped classroom could improve students’ motivation and help them to manage the cognitive load (Abeysekera and Dawson 2015).

However, despite the fact that a priori this may seem a simple model, it is important to devise a suitable design and correctly implement the method for it to be effective (Khanova et al. 2015).

This new method has aroused great interest in the educational community as it combines the use of technological material on the one hand and the development of autonomy on the other. In particular, in the university context, advancing digital technologies within the higher education sector are challenging both the pedagogical stance of traditional didactic teaching seen for decades within universities and at the same time offering dynamic and innovative opportunities for student learning (O’Flaherty and Phillips 2015). In the traditional didactic approach where academics transmit knowledge as expert teachers to students, the latter have been treated as empty vessels passively absorbing information, wherein their interests are diminished and diverse learning styles are disregarded (Betihavas et al. 2016; Lage, Platt, and Treglia 2000).

In this way, the strategy of flipped learning requires the autonomy of the students because they have to watch video lectures outside the classroom. Research conducted on university students showed better management of their time with the flipped classroom method (Kim 2018). In this respect, some research revealed several barriers to the full adoption of the flipped model, such as the students’ passive learning habits, and the busy schedules of part-time students who were not always able to properly review the study materials in advance of the synchronous class (Chen et al. 2014; Zainuddin and Attaran 2016). This model then puts more responsibility for learning on the students so that they can work towards mastery of the material (O'Flaherty and Phillips 2015). In this sense, flipped learning enables an individual to develop the competence of ‘learning to learn’.

However, despite the strong willingness of academics to engage in the redesign of their students’ learning experiences using the flipped classroom (O'Flaherty and Phillips 2015) and the popularity of this new method, there are currently not enough scientific investigations that permit the suitability of the flipped classroom to be confirmed as a method for all areas and educational levels (Abeysekera and Dawson 2015; Kashada, Li, and Su 2017). Thus, it is necessary to carry out research that makes it possible to analyse the development of competences using active methodologies.

The aim of this study was to estimate the relationship between using the flipped classroom methodology and the traditional method and the perception of the development of the ‘learning to learn’ competence in higher education. The hypothesis is that ‘students who learned through the flipped classroom methodology increase their perception of the development of the “learning to learn” competence’.

Method

Participants

The study involved a compulsory third-year subject on Applied Teaching Methodology from the Degree in Physical Activity and Sport Sciences, during six classroom sessions (one unit) of the first semester of the 2017–2018 course. A total sample of 169 students filled out the questionnaire; however, 59 of them filled out only one of the parts (either before or after the intervention) and therefore they were excluded from the analysis. Of the 110 remaining students, 66 (16 women and 50 men) received the flipped classroom methodology and 44 (9 women and 35 men) received the traditional methodology. The mean age of the students was 21.6 years [standard deviation (SD) = 3.0].

Design and procedure

In many situations in educational research, it is not possible to randomly assign subjects to a treatment group (Ary et al. 2010). In the present study, it was not possible to reorganise the classes to accommodate the research study. For this reason, the study had a quasi-experimental design in which one group received a traditional pedagogical intervention (control group) and the other an intervention using a flipped classroom approach (experimental group).

There were two teachers. Each teacher had two groups (one control and one experimental group). The students were distributed into two groups, one of which received the content using a traditional classroom method, in which they were given theoretical classes and resolved questions. The other group received the content using the flipped learning strategy so that the students had to watch video lectures outside the classroom that had been uploaded to the subject’s web space and read PowerPoint material. Then they received practical classes with activities in which they worked on the content using problem solving, quizzes and a discussion group. The students had never used the flipped classroom method before this research; therefore, the experimental group received guidance on how to be a flipped classroom-student before the intervention through video lectures containing theoretical content on flipped classroom methodology.

Each of the groups was measured using the instrument (see below) before and after the intervention.

Therefore, the design is of two independent groups (the two traditional groups were merged and the two flipped classroom groups were also merged for the statistical analysis) that followed the different types of teaching × two moments in time (before and after).

Instrument

The scientific community already knows and assumes that the adaptation of tests is not merely a linguistic matter, and that it requires the conjunction of cultural, conceptual, linguistic and metrical aspects that have to be analysed from both analytical–rational and empirical perspectives (Muñiz, Elosua, and Hambleton 2013).

For this reason, to comply with the aims of the present research and to measure the self-perception of the level of development of the ‘learning to learn’ competence in the context of the Spanish University, an instrument was used that had been developed and validated for this population: the questionnaire ‘Self-perceived level of development of the “learning to learn” competence in the university context: a proposed measuring instrument’ drawn up by Muñoz-San Roque et al. (2016). The instrument has been applied to a sample of 458 college students. It has three factors (learning management, self-assessment and the self-learning process as a learner) and nine items: items 1–4 for learning management; items 5 and 6 for self-assessment; and items 7–9 for the self-learning process as a learner. The answers referred to a Likert-type scale from 1 to 6, where 1 was ‘little developed’ and 6 was ‘highly developed’. Cronbach’s alpha reliability coefficient was 0.88. Exploratory and confirmatory analyses were conducted to validate the theoretical model and reliability indices, and the suitability of the structural model was determined to justify the validity of the instrument (Muñoz San Roque et al. 2016). After the participants gave their consent to participate in the study, we proceeded to administer the questionnaire.

Data analysis

The Mann–Whitney U test was used to analyse the scores on the questionnaire (ordinal variables: Likert scale from 1 to 6). Cohen’s d was used to express effect size, with values of 0.2, 0.5 and 0.8 to express small, medium and large effects, respectively. The values of the three resulting factors (see Muñoz-San Roque et al. 2016) were submitted to a 2 (within groups, time: before and after) by 2 (between groups, pedagogical intervention: traditional and flipped classroom) repeated measure analysis of variance (RM ANOVA). Shapiro–Wilk’s and Levene’s tests showed normal distribution and homogeneity of variances, respectively. Partial eta-squared depicted the effect size, with values of 0.01, 0.06 and 0.14 for small, medium and large effects, respectively (Cohen 1977). Significance level for all analyses was set at alpha = 0.05. SPSS V. 24 and jamovi V.0.9.5.16 programs were used to perform the statistical analysis.

Results

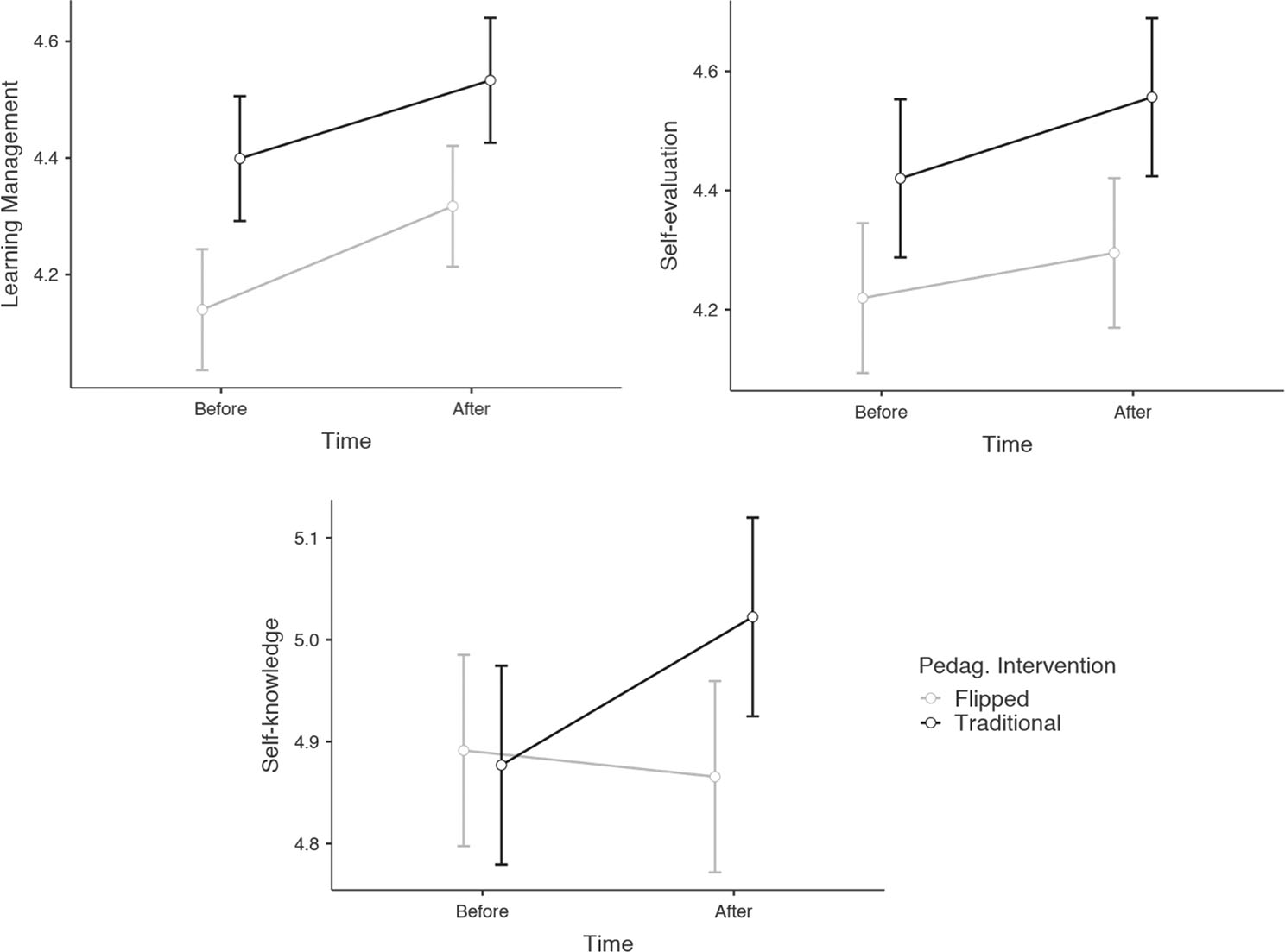
The values of the three factors on the questionnaire were similar across the types of pedagogical interventions (Figure 1). Accordingly, RM ANOVA confirmed no significant effect for pedagogical intervention on learning management [F(1,108) = 2.98, p = 0.087, ηp2= 0.03], self-evaluation of the process [F(1,108) = 2.13, p = 0.147, ηp2= 0.02] or self-knowledge as a learner [F(1,108) = 0.34, p = 0.564, ηp2= 0.00].

Fig 1
Figure 1. Values of the questionnaire factors by type of pedagogical intervention, before and after. Error bars represent standard error of the mean.

As shown in Figure 1, pupils reported higher values of learning management after the intervention, an RM ANOVA revealed the main effect of time [F(1,108) = 6.66, p = 0.011, ηp2= 0.06]. Yet, these effects of time were not found for self-evaluation [F(1,108) = 1.27, p = 0.263, ηp2= 0.01], or self-knowledge measures [F(1,108) = 1.02, p = 0.314, ηp2= 0.01]. Finally, the RM ANOVA did not reveal an interaction between the type of pedagogical intervention and time for any of the factors on the questionnaire (Figure 1).

Table 1 presents the scores of the participants in the different items on the questionnaire. Before the intervention, differences between traditional and flipped classroom were found in ‘I am able to have a certain control on how I learn’ (U = 1081, p = 0.016, d = 0.44) and ‘I organise my studying setting realistic objectives’ (U = 1125, p = 0.037, d = 0.44). After the classes, differences remained only in ‘I organise my studying setting realistic objectives’, with a smaller effect size (U = 1138, p = 0.047, d = 0.40).

Table 1. Mean (M) and standard deviation (SD) of the scores relative to perceived development of the ‘learning to learn’ competence by type of pedagogical intervention (flipped vs. traditional) before and after the intervention.
Items Before After
Flipped   Traditional Flipped   Traditional
M SD   M SD M SD   M SD
1. I am able to have a certain control on how I learn 4.33 0.92 * 4.70 0.73 4.52 1.01   4.77 0.72
2. I organise my studying setting realistic objectives 4.03 1.10 * 4.48 0.88 4.21 1.16 * 4.64 0.92
3. I establish times for study 4.30 1.25   4.23 1.12 4.44 1.23   4.30 0.93
4. I am able to use different strategies 3.91 1.20   4.19 1.20 4.09 1.18   4.40 1.14
5. I can check during the task if it is responding to the objectives I have set 4.15 1.13   4.41 0.97 4.26 1.04   4.52 1.09
6. I can check if the results correspond to the objectives I set at the beginning of the task 4.33 0.90   4.48 1.07 4.38 1.08   4.64 1.04
7. I am aware of my level of knowledge and my particular method of processing information 4.80 0.92   5.00 0.78 4.82 0.90   5.05 0.71
8. I am able to identify my study habits and can suitably describe them 4.83 0.95   4.64 0.92 4.76 1.16   4.89 0.78
9. I am aware of my virtues and difficulties when I am studying or learning 5.05 0.83   5.02 0.73 5.03 1.05   5.16 0.75
Note: *p < 0.05

To examine the actual effect of the pedagogical intervention on the participants’ scores, we calculated the difference between the before and after scores for each item for every participant, and then compared those scores by pedagogical intervention (traditional vs. flipped). The Mann–Whitney U test did not reveal a significant difference across groups for any of the items, with p-values ranging from 0.137 for ‘I am able to identify my study habits and can suitably describe them’ to 0.913 for ‘I am able to use different strategies’.

Discussion

We aimed to compare traditional versus flipped classroom methodology in the perception of the development of the ‘learning to learn’ competence in higher education. To this end, we measured the management of the learning process, self-evaluation of the process and self-knowledge as a learner (Muñoz-San Roque et al. 2016) before and after the pedagogical intervention.

The development of key competences needs to start at an early age and to continue throughout life. Measures to improve competence development need to reach all learners, independently of their background and individual capacities (European Commission 2018).

Different authors and institutions are recommended to incorporate self-assessment of students in this process to know their opinions about the development of the competences (Salcines et al. 2018).

Students did report higher values of learning management after the intervention, but regardless of the methodology. In fact, results indicated that none of those factors showed a clear variation as a function of pedagogical intervention. Likewise, while the traditional group reported higher scores in some of the items (i.e. ‘I am able to have a certain control on how I learn’ and ‘I organise my studying setting realistic objectives’) either before and/or after, it did not show systematic variations in learning rate across time for any of the items composing the questionnaire. In other words, the values of items and factors suggest that both methods (flipped classroom vs. traditional) might produce similar results in acquiring ‘learning to learn’ competence.

The present findings are in line with the previous research on flipped class interventions among university students. For instance, the study by Morgan et al. (2015) found no significant differences in the self-evaluation of knowledge between the traditional method and flipped classroom. Kim (2018) did not find differences of a flipped learning course with regard to student satisfaction. In another recent study employing epidemiology master students, performance between flipped and traditional methods was similar with regard to quantitative assessment of the course (Shiau et al. 2018).

Some of the authors have provided some explanation of the absence of differences among methodologies. Despite some of the advantages of adopting the flipped classroom methodology such as students’ general positive feelings and greater satisfaction and engagement, this methodology is not exempt from some problems, such as passive learning habits, heavier workloads and lack of time to review the videos at home, particularly among part-time students (Chen et al. 2014; Kim 2018; Zainuddin and Attaran 2016).

Results of our experiment and aforementioned studies can be understood in the framework of non-significant difference (Russell 1999). This well-documented phenomenon raises doubts about the (usually overestimated) benefits of the alternative methods of education based on the use of new technology in conjunction with blended or online instruction over the traditional classroom. Research suggests that score grades and student satisfaction are similar between traditional and alternative methods, and that they are mediated by other exogenous factors such as type of technology, available time of students, course design and so on (Russell 1999). In this sense, we highlight the need for the publication of educational works finding non-significant differences between instructional methods in order to avoid the publication bias. Otherwise, published works in favour of either traditional or alternative technology-based classrooms would lead to misguided conclusions.

Limitations

This study is not exempt from shortcomings. First, while we measured the perceptions of the students in acquiring the competence of ‘learning to learn’, we failed to record the actual scores of the participants during the intervention. Collecting both perceptions and scores would provide a better picture of the teaching–learning process. The study was also limited by the short time available for the intervention because it was only performed during six classroom sessions.

For further research on this subject, future studies should be conducted during one complete year and should increase the sample size (involving students from the first to the last years). This might be enough time to see a difference between students using flipped classroom and traditional lectures. It would also make it possible to analyse the difference between freshmen and experienced students as more experienced students probably have developed study habits that might be difficult to change later, especially if these habits were developed by having only traditional lectures.

Conclusion

We can conclude that this study did not find any significant differences between the traditional and flipped classroom methods, in the perception of the development of the ‘learning to learn’ competence. However, given the controversy that exists between the results of the present study and the results of different investigations, it is necessary to carry out more research using the flipped classroom method in order to be able to present scientific evidence to corroborate the influence of the flipped model in the university context.

References

Abeysekera, L. & Dawson, P. (2015) ‘Motivation and cognitive load in the flipped classroom: definition, rationale and a call for research’, Higher Education Research & Development, vol. 34, no. 1, pp. 1–14. doi: 10.1080/07294360.2014.934336

Ary, C., et al., (2010) Introduction to Research in Education, 8th edn., Wadsworth, Belmont, CA.

Bergmann, J. & Sams, A. (2014) Dale la vuelta a tu clase: lleva tu clase a cada estudiante, en cualquier momento y cualquier lugar (Flip your class: take your class to each student, at any time and in any place), Fundación Santa María-Ediciones SM, Madrid.

Betihavas, V., et al., (2016) ‘The evidence for “flipping out”: a systematic review of the flipped classroom in nursing education’, Nurse Education Today, vol. 36, pp. 15–21. doi: 10.1016/j.nedt.2015.12.010

Carretero, M. R. & Fuentes, M. (2010) ‘La competencia de aprender a aprender (The “learning to learn” competence)’, Aula de Innovación Educativa, vol. 192, pp. 7–10.

Chen, Y., et al., (2014) ‘Is FLIP enough? Or should we use the FLIPPED model instead?’, Computers & Education, vol. 79, pp. 16–27. doi: 10.1016/j.compedu.2014.07.004

Chis, A. E., et al., (2018) ‘Investigating flipped classroom and problem-based learning in a programming module for computing conversion course’, Educational Technology & Society, vol. 21, no. 4, pp. 232–247.

Climént, J. B. (2010) ‘Reflexiones sobre la Educación Basada en Competencias (Reflections on competence-based education)’, Revista Complutense de Educación, vol. 21, no. 1, pp. 91–106.

Cohen, J. (1977) Statistical Power Analysis for the Behavioral Sciences, Academic Press, New York.

European Commission (2018) Council Recommendation on Key Competences for Lifelong Learning, Official Journal of the European Union, Brussels.

Fernández-March, A. (2006) ‘Metodologías activas para la formación de competencias (Active methodologies for the training of competences)’, Educatio siglo XXI, vol. 24, pp. 35–56.

Herrero, R. M. (2014) ‘El papel de las TIC en el aula universitaria para la formación en competencias del alumnado (The role of ICT in the University classroom for training the students in competences)’, Pixel-Bit. Revista de Medios y Educación, vol. 45, pp. 173–188. doi: 10.12795/pixelbit.2014.i45.12

Hofmann, P. (2008) ‘Learning to learn: a key-competence for all adults?’, Convergence, vol. 41, no. 2–3, pp. 173–181.

Kashada, A., Li, H. & Su, C. (2017) ‘Adoption of flipped classrooms in K-12 education in developing countries: challenges and obstacles’, International Journal of Emerging Technologies in Learning, vol. 12, no. 10, pp. 147–157. doi: 10.3991/ijet.v12i10.7308

Khanova, J., et al., (2015) ‘Student experiences across multiple flipped courses in a single curriculum’, Medical Education, vol. 49, no. 10, pp. 1038–1048. doi: 10.1111/medu.12807

Kim, J. Y. (2018) ‘A study of students’ perspectives on a flipped learning model and associations among personality, learning styles and satisfaction’, Innovations in Education and Teaching International, vol. 55, no. 3, pp. 314–324. doi: 10.1080/14703297.2017.1286998

Lage, M. J., Platt, G. J. & Treglia, M. (2000) ‘Inverting the classroom: a gateway to creating an inclusive learning environment, Journal of Economic Education, vol. 31, no. 1, pp. 30–43. doi: 10.1080/00220480009596759

Lee, H. W., Lim, K. Y. & Grabowski, B. L. (2010) ‘Improving self-regulation, learning strategy use, and achievement with metacognitive feedback’, Educational Technology Research and Development, vol. 58, no. 6, pp. 629–648. doi: 10.1007/s11423-010-9153-6

Morgan, H., et al., (2015) ‘The flipped classroom for medical students’, The Clinical Teacher, vol. 12, no. 3, pp. 155–160. doi: 10.1111/tct.12328

Muñiz, J., Elosua, P. & Hambleton, R. (2013) ‘International test commission guidelines for test translation and adaptation: second edition’, Psicothema, vol. 25, no. 2, pp. 151–157. doi: 10.7334/psicothema2013.24

Muñoz-San Roque, I., et al., (2016) ‘Autopercepción del nivel de desarrollo de la competencia de Aprender a Aprender en el contexto universitario: propuesta de un instrumento de evaluación (Self-perceived level of development of the “learning to learn” competence in the university context: a proposed measuring instrument)’, Revista de Investigación Educativa, vol. 34, no. 2, pp. 369–383. doi: 10.6018/rie.34.2.235881

O'Flaherty, J. & Phillips, C. (2015) ‘The use of flipped classrooms in higher education: a scoping review’, Internet and Higher Education, vol. 25, pp. 85–95. doi: 10.1016/j.iheduc.2015.02.002

Russell, T. L. (1999) The No Significant Difference Phenomenon: As Reported in 355 Research Reports, Summaries and Papers, North Carolina State University, Raleigh, NC.

Rychen, D. S. & Salganik, L. H. (eds.) (2001) Defining and Selecting Key Competencies, Hogrefe & Huber Publishers, Ashland, OH.

Salcines, I., et al., (2018) ‘Validación de la Escala de Autopercepción de Competencias Transversales y Profesionales de Estudiantes de Educación Superior. (Validation of Self-Perception Scale of Transversal and Professional Competences of Higher Education Students)’, Profesorado. Revista de Currículum y Formación de Profesorado, vol. 22, no. 3, pp. 31–51. doi: 10.30827/profesorado.v22i3.7989

Salmerón, H. & Gutierrez-Braojos, C. (2012) ‘La competencia de aprender a aprender y el aprendizaje autorregulado. posicionamientos teóricos. (The learning to learn competence and self-regulated learning. Positioning theorists)’, Profesorado. Revista de Currículum y Formación de Profesorado, vol. 16, no. 1, pp. 5–13.

Shah, R. K. & Barkas, L. A. (2018) ‘Analysing the impact of e-learning technology on students’ engagement, attendance and performance’, Research in Learning Technology, vol. 26, no. 210. p. 2070. doi: 10.25304/rlt.v26.2070

Shiau, S., et al., (2018) ‘Evaluation of a flipped classroom approach to learning introductory epidemiology’, BMC Medical Education, vol. 18, no. 1, p. 63. doi: 10.1186/s12909-018-1150-1

Trier, U. P. (2003) ‘Twelve countries contributing to DeSeCo: a summary report’, in Definition and Selection of key Competences. Contributions to the Second DeSeCo Symposium, eds, D. Rychen, L. Salganik, & M. McLaughlin, Swiss Federal Statistical Office, Neuchâtel, pp. 27–64.

Voogt, J. & Roblin, N. P. (2012) ‘A comparative analysis of international frameworks for 21st century competences: implications for national curriculum policies’, Journal of Curriculum Studies, vol. 44, no. 3, pp. 299–321. doi: 10.1080/00220272.2012.668938

Zainuddin, Z. & Attaran, M. (2016) ‘Malaysian students’ perceptions of flipped classroom: a case study’, Innovations in Education and Teaching International, vol. 53, no. 6, pp. 660–670. doi: 10.1080/14703297.2015.1102079